Фізіологія людини - Вільям Ф. Ґанонґ 2002
Ендокринна система, метаболізм і репродуктивна функція
Ендокринна функція нирок, серця та епіфіза
Гормони серця та інші натрійуретичні фактори
Структура
Наявність різноманітних натрійуретичних гормонів
визнана лише недавно. Два з них секретує Серце. М’язові клітини в передсердях і менше у шлуночках містять секреторні гранули (рис. 24-6), кількість яких збільшується зі збільшенням приймання натрію хлориду й об’єму позаклітинної рідини. Екстракти Тканини передсердя здатні посилювати виділення натрію з сечею.
Першим натрійуретичним гормоном, виділеним з серця, був передсердний натрійуретичний пептид (ANP - від англ. artial natriuretic peptide) поліпептид з характерним кільцем із 17 амінокислот, утвореним за допомогою дисульфідного зв’язку між двома залишками цистеїну. Циркулювальна форма цього поліпептиду містить 28 амінокислотних залишків (рис. 24-7). Вона утворена з великої прекурсорної молекули, яка містить 151 амінокислотний залишок, у тім числі сигнальний пептид, що складається з 24 амінокислот. ANP згодом виділено з інших тканин, зокрема мозку, де він є в двох формах, менших за розмірами, ніж ANP у судинному руслі.
Другий натрійуретичний пептид виділено з мозку свині, його назвали мозковий натрійуретичний пептид (BNP - від англ. brain natriuretic peptide). У людини він також є в мозку, однак більше виявляється в серці, у тім числі його шлуночках. Форма цього гормону, що циркулює у крові, містить 32 амінокислотні залишки і має таке ж кільце з 17 амінокислот, як і ANP, хоча деякі з цих амінокислот відмінні від тих, що їх містить аналогічне кільце ANP (див. рис. 24-7). Третього члена цієї родини названо натрійуретичний пептид С-типу (CNP - від англ. C-type natriuretic peptide), оскільки він був третім з виділених (тому позначений третьою літерою латинського алфавіту). Він містить 22 амінокислотні залишки (див. рис. 24-7), однак є й більша його форма, що складається з 53 амінокислот. CNP наявний у мозку, гіпофізі, нирках і клітинах ендотелію судин. Проте його кількість у тканинах серця і Кров’яному руслі дуже мала; він, імовірно, передусім відіграє роль паракринного трансмітера.

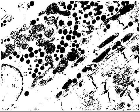
Рис.24-6. Ґранули ANP (д), розсіяні між мітохондріями (т) щура в м’язових клітинах передсердя; G - апарат Ґольджі; N - Ядро. Ґранули у клітинах передсердь людини мають подібний вигляд. х17 640 (з дозволу М Cartin).

Рис. 24-7. ANP, BNP та CNP у людини. Вгорі: односимвольні коди амінокислотних залишків, де показано спільні амінокислотні послідовності (позначені кольором). Унизу: форма молекул. Зверніть увагу, що термінальним залишком на карбоксильному кінці CNP є цистеїн; таким способом карбоксильний кінець цього поліпептидного ланцюга замикається, утворюючи 17-членне кільце (модифіковано з Imura Н, Nakao К, Itoh Н: The natriuretic peptide system in the brain: Implication in the central control of cardiovascular and neuroendocrine functions. Front Neurondocrinol 1992; 13:217).
Функція
Гормони ANP і BNP, що містяться в крові, діють на нирки, збільшуючи екскрецію Na+; уведений ін’єкційним способом CNP теж дає подібний ефект. Імовірно, вони впливають шляхом дилатації аферентних артеріол і релаксації мезангіальних клітин. Обидва ці ефекти посилюють фільтрування у клубочках (див. Розділ 38), а також діють на ниркові канальці, пригнічуючи реабсорбцію Na+. До інших ефектів належить збільшення проникності капілярів, що призводить до екстравазації рідини і зниження артеріального тиску. Крім того, вони сприяють розслабленню гладком’язових елементів в артеріолах і венулах. CNP має більше виражений судинорозширювальний вплив на вени, ніж ANP і BNP. Ці пептиди також знижують секрецію реніну і протидіють пресорним ефектам катехоламінів та ангютензину II.
У мозку ANP наявний у нейронах. Нервовий провідниковий шлях, що містить ANP, тягнеться від антеромедіальної частини гіпоталамуса до ділянок стовбура мозку, які відповідають за нервове Регулювання серцево-судинної системи.
Загалом дія ANP на мозок протилежна до впливу ангіотензину II, і нервові волокна, що містять ANP, найімовірніше, відповідають за зниження артеріального тиску і посилене виділення натрію з сечею. Значення CNP і BNP для мозку, мабуть, таке ж , як і ANP, однак детальнішої інформації з цього приводу ще не отримано.
Рецептори натрійуретичних пептидів
Сьогодні виявлено й описано три різні типи рецепторів натрійуретичних пептидів (NPR) (рис. 24-8). Двоє з цих рецепторів - NPR-A і NPR-B - разом перетинають клітинну мембрану і мають цитоплазматичні домени, які за хімічною суттю є гуанілатциклазами. Гормон ANP найбільше споріднений з рецептором NPR-A, a CNP - з NPR-В. Третій рецептор - NPR-C - зв’язується з усіма трьома натрійуретичними пептидами, проте має помітно усічений цитоплазматичний домен. Є деякі докази, що він діє через G-білки, активуючи фосфоліпазу С і пригнічуючи аденілатциклазу. Однак дискусійне твердження, що цей рецептор не є пусковою точкою жодних внутрішньоклітинних процесів, а лише так званий кліренсний рецептор, який просто зв’язує натрійуретичні пептиди, що циркулюють у крові, і вивільнює їх згодом, що допомагає підтримувати сталість концентрації цих гормонів у крові.

Рис. 24-8. Схематичне зображення рецепторів до натрійуретичного пептиду. Молекули NPR-A і NPR-B містять внутрішньоклітинні гуанілатцикпазні домени, тоді як кліренсний рецептор NPR-C має лише один невеликий цитоплазматичний домен.
Секреція і метаболізм
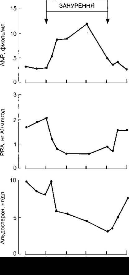
Концентрація ANP у плазмі крові в осіб, що споживають помірну кількість натрію, становить у нормі близько 5 ф моль/мл. Секреція ANP збільшується тоді, коли об’єм ПКР збільшується внаслідок довенного Введення ізотонічного розчину натрію хлориду або дієти з високим вмістом натрію, а також у разі занурення у воду до шиї (рис. 24-9) (ця процедура протидіє впливові сили земного тяжіння на Кровообіг, збільшуючи центральний венозний тиск, і як наслідок - тиск у передсердях). Зазначимо, що занурення у воду також зменшує секрецію реніну й альдостерону. Натомість унаслідок переходу з положення лежачи у положення стоячи рівень ANP у плазмі крові незначно знижується, однак піддається реєстрації в поєднанні зі зниженням центрального венозного тиску. In vitro смужки передсердної м’язової тканини вивільнюють ANP у разі їхнього штучного розтягнення. Отже, ймовірно, що передсердя in vivo безпосередньо відповідають на розтяг, а інтенсивність секреції ANP пропорційна до того ступеня, на який передсердя розтягуються в разі підвищення центрального венозного тиску.

Рис. 24-9. Вплив занурення у воду до рівня шиї на концентрацію в плазмі крові ANP і альдостерону та активність плазмового реніну (PRA) (модифіковано і відтворено за дозволом з Epstein М et al: Increases in circulating atrial natriuretic factor during immersion-induced central hypervolaemia in normal humans. Hypertension 1986;4 [Suppl 2]:593).
ANP у крові, що циркулює, має короткий період півжиття. Його метаболізує нейтральна ендопептидаза (НЕП), яку пригнічує Триптофан. Отже, приймання триптофану збільшує рівень ANP у крові.
Значно менше відомо про секретування тканинами серця BNP та його метаболізм, проте вони, швидше всього, подібні до відповідних процесів з ANP.
Фактор інгібування Ма+-К+-АТФ-ази
У крові є й інший натрійуретичний фактор, який стимулює виділення натрію з сечею шляхом інгубування ензиму Nа+-К+-АТФ-ази і більше схильний підвищувати артеріальний тиск, аніж знижувати його. Недавні дослідження засвідчили, що ця речовина - оубаїн, стероїд із дигіталісоподібним ефектом, який синтезується в надниркових залозах. Однак його фізіологічне значення ще не з’ясоване.
Последнее обновление: 05/02/2024
Редакционная и учебная адаптация: Данный материал сведен на основе первоисточника/оригинального текста. Команда проекта осуществила редакционную обзорную обработку, исправление технических неточностей, структурирование разделов и адаптацию содержания к учебному формату.
Что было обработано:
- устранение форматных дефектов (OCR-ошибки, разрывы структуры, дефектные символы);
- редакционное упорядочивание содержания;
- унификация терминов в соответствии с академическими источниками;
- проверка соответствия фактических утверждений текста первоисточнику.
Все упоминания об авторе, годе издания и происхождении первичного текста сохранены в соответствии с источником.