Фармакогнозія з основами біохімії рослин - Ковальов В. М. 2004
Спеціальна частина
Фенольні сполуки
Дубильні речовини
Дубильні речовини (таніди) — це комплекс низько- та високомолекулярних поліфенолів, генетично зв’язаних між собою, що виявляють дубильні властивості, мають в’яжучий смак, осаджують білки та Алкалоїди з розведених розчинів.
Назву «дубильні речовини» у 1796 р. французький дослідник Ф. Сеген дав речовинам рослинних екстрактів, які здатні дубити і перетворювати на шкіру невичинену шкуру тварин. Дублення — не звичайний фізичний процес, а складна хімічна взаємодія фенольних груп танідів з молекулами колагену шкіри. При пласкому розташуванні таніну на білковій молекулі виникають стійкі водневі зв’язки між ОН-групами фенолів і карбоксильними групами амінокислот

Прості поліфеноли (псевдотанін, харчові таніни, чайні таніни) мають невелику масу, тому вони не можуть утворювати міцні перехресні зв’язки і не виявляють дубильної дії, але мають в’яжучий смак і дають лікувальний ефект при цілому ряді захворювань. Сполуки з молекулярною масою вище 20 000 також неефективні при дубленні шкір, бо не можуть проходити між волокнами колагену в шкурі тварини.
Уже перші дослідження дубильних речовин показали, що близькі за фізико-хімічними властивостями сполуки різняться за структурою.
Перша класифікація, запропонована Проктером у 1894 р., поділила дубильні речовини за продуктами їх термічного розпаду на дві групи:
пірогалолові (які дають при піролізі пірогалол) та пірокатехінові (які утворюють пірокатехін).

Пірогалол

Пірокатехін
У 1920 р. К. Фрейденберг запропонував розподілити таніни на підставі їх природної будови та хімічних властивостей на дубильні речовини, що гідролізуються, і конденсовані.
Дубильні речовини, що гідролізуються під впливом кислот, ферментів та лугів, розщеплюються на прості Фенольні сполуки та сахар. Останній може бути глюкозою, галактозою, арабінозою, ксилозою, мальтозою, фруктозою, сахарозою або фрагментом, який виконує роль сахару,— хінна чи оксикорична кислота, флаван.
Дубильні речовини, що гідролізуються, за своєю будовою поділяються на три групи:
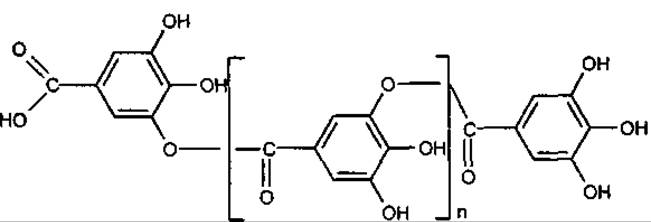
галотаніни — ефіри галової кислоти та сахарів; елаготаніни — ефіри елагової кислоти та сахарів; несахаридні ефіри фенолкарбонових кислот.
Галотаніни є найбільш поширеними в цій групі дубильних речовин.
Загальна формула галотанінів, де R — залишок моно-, ди-, три-, тетра-, пента- або полігалової кислоти:

мета-Дигапова кислота, або депсид галової кислоти

Полігалова кислота
Найбільший вміст галотанінів зафіксований в утвореннях, які називаються галами. У роботах Е. Фішера і К. Фрейденберга було доведено, що у турецьких галах співвідношення глюкози з галовою кислотою становить 1:5-6, а в китайських — 1:9-10. Раніше ці види галів імпортували для виробництва таніну.
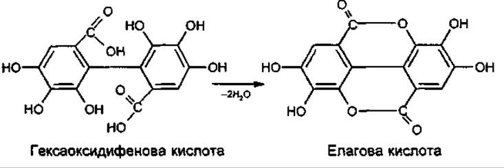
Елаготаніни після гідролізу утворюють елагову кислоту або кислоти, біогенетично пов’язані з нею, наприклад гексаоксидифенову, хебулову, дегідродигалову та ін.
Елагова кислота утворюється лактонізацією гексаоксидифенової кислоти при гідролітичному розпаді елаготанінів. Нагрівання або додавання мінеральних кислот прискорює цей процес.


Альнітанін
Першим з групи елаготанінів у кристалічному вигляді був одержаний корилагін з дубильної сировини діві-діві та міробаланів. При гідролізі він утворює по одній молекулі галової та елагової кислот, а також глюкозу. Пізніше з суплідь вільхи клейкої виділили альнітанін.
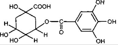
Несахаридний ефір галової кислоти знайдено в зеленому чаї. Він є складним ефіром галової та хінної кислот і названий теогаліном.

Теогалін
З чорного (ферментованого) чаю Thea sinensis були виділені три галоїльних ефіри, які пов’язані з катехіном, наприклад кате- хілгалат.

Катехілгалат
Подібні ефіри галової кислоти і катехіну утворюють проміжну ланку між галотанінами та флавоноїдами.
Конденсовані дубильні речовини також поділяються на три групи:
похідні флаванолів-3;
похідні флавандіолів-3,4;
похідні оксистільбенів (дифенілетилену).
Вивчення хімічної будови дубильних речовин цієї групи пов’язано з великими труднощами, бо вони легко конденсуються під дією мінеральних кислот, окислювачів, а також високої температури.
У механізмі утворення конденсованих дубильних речовин та їх хімічній будові ще багато неясного, незважаючи на численні дослідження у цій галузі. К. Фрейденберг висунув гіпотезу катехінової структури всіх конденсованих дубильних речовин. Він же вперше запропонував назву «катехіни» для речовини, що має будову флаван-3-ол.
Попередником конденсованих дубильних речовин є також флаван-3,4-діол, який широко зустрічається в рослинах.

Флаван-3-ол

Флаван-3,4-діол
Існують певні структурні вимоги, яким мають відповідати похідні флавану, щоб була можливою аутоконденсація:
група-ОН або -ОСН3 в положенні 4 флаванового скелета; дві групи -ОН в мета-положенні кільця А або одна -ОН група в положенні С—7.
Флаван-3,4-діоли під дією кислоти конденсуються значно легше за відповідні флаван-3-оли.
Існує ряд доводів на користь того, що окислювальні реакції фенолів мають велике значення в біосинтезі лігнанів, алкалоїдів та ін.
Утворення конденсованих дубильних речовин за Фрейденбергом

Конденсовані дубильні речовини — похідні оксистільбенів, були виділені з сосни, ялини, коренів вищих рослин. Наприклад, стільбен піцеатанол є агліконом глікозидів з лубу ялини. Під дією фенолоксидаз, а також при нагріванні з розбавленими мінеральними кислотами піцеатанол утворює брунатні продукти конденсації.

Піцеатанол
Оксистільбени можуть також утворювати комбіновані полімери з флаванами.
Поширення та локалізація
Дубильні речовини зустрічаються переважно у вищих рослинах. Найбільшу кількість видів рослин з високим вмістом дубильних речовин відзначено в родинах Fabaceae, Polygonaceae, Anacardiaceae, Myrtaceae, Rosaceae, Hamamelidaceae, Salicaceae, Geraniaceae, Plumbaginaceae, Asteraceae. Надзвичайно багаті на танін (45 % на суху масу) стручки цизальпінії коротколистої та цезальпінії дубильної (Caesalpinia brevifolia і С. соrіаrіа) і кора деяких видів евкаліптів (Eucalyptus sp.). Близько 64 % дубильних речовин, які гідролізуються, накопичуються в патологічних утвореннях (галах) — на листі сумаха напівкрилатого (Rhus semialata) та дуба лузитанського (Quercus lusitanica).
В усьому світі відомі такі джерела танінів:
катеху — сухий екстракт з деревини індійської акації (Acacia catechu, род. Fabaceae) та інших видів. Катеху — це нерівномірні шматки темно-брунатного кольору, в’яжучого та гіркого смаку, які цілком розчиняються у воді та спирті. Містять дубильні речовини конденсованої групи. Застосовують внутрішньо як в’яжуче;
плоди міробалану (Terminalia chedula, род. Anacardiaceae), які містять близько 40 % танідів, використовують при шлунково-кишкових розладах і дизентерії;
гамбір — сухий екстракт з листя та молодих пагонів Uncaria gambir, род. Rubiaceae, який одержують шляхом екстракції сировини водою. Містить дубильні речовини конденсованої групи; використовується внутрішньо як в’яжуче;
кіно — сухий сік різних тропічних рослин, що містить дубильні речовини та барвники. У країнах Південної Азії його одержують з Pterocarpus marsupium, род. Fabaceae, в Австралії — з Eucalyptus rostrata, род. Myrtaceae, в Центральній Америці — з Butea frondosa, род. Fabaceae, При надрізанні з кори витікає темно-червоний сік, який збирають і висушують на сонці. Сік розчиняється у гарячій воді та спирті. Містить дубильні речовини конденсованої групи. Застосовується внутрішньо і зовнішньо як в’яжуче;
корінь ратанії з Krameria briandra, род. Fabaceae, який містить близько 20 % конденсованих дубильних речовин і велику кількість ратанієвої красені (флобафенів), яка нерозчинна у воді. Використовують зовнішньо.
Фізико-хімічні властивості, виділення і дослідження
Дубильні речовини, які здатні дубити шкуру і перетворювати її на шкіру (справжні таніди), мають молекулярну масу від 1000 до 20 000. Це аморфні речовини від блідо-жовтого до світло-бурого кольору, добре розчинні у воді, метиловому та етиловому спирті, нерозчинні — в хлороформі, бензолі, петролейному ефірі.
Ті, що мають нижчу молекулярну масу (псевдотаніни, або в’яжучі таніни), не взаємодіють з білком шкіри, але мають в’яжучий смак та застосовуються в медичній та харчовій промисловості. Деякі з них виділені у вигляді кристалів і добре вивчені. Багато танінів оптично активні, легко окислюються на повітрі, набуваючи темнішого забарвлення. Окислені конденсовані таніни називаються флобафенами.
' Виділення. Із сировини дубильні речовини екстрагують гарячою водою, а потім екстракт очищають від супутніх сполук послідовною обробкою його хлороформом, діетиловим ефіром та етилацетатом.
Часто застосовують попередню екстракцію сировини органічними розчинниками, щоб виділити хлорофіл, терпени тощо, а для виділення дубильних речовин сировину екстрагують етанолом. Низькомолекулярні дубильні речовини виділяють колонковою хроматографією із застосуванням сорбентів — силікагелю, поліаміду та ін.
Ідентифікація. Дубильні речовини утворюють осади з розчинами желатину і алкалоїдів; як і інші фенольні сполуки, вони дають осади (іноді забарвлені) з солями важких металів. Найчастіше використовують солі заліза. Дубильні речовини, які гідролізуються, з розчином залізоамонієвих галунів набувають темно-синього, а конденсовані — темно-зеленого забарвлення.
Конденсовані дубильні речовини з ваніліном у концентрованій хлороводневій або 70 % сірчаній кислоті дають червоне забарвлення.
Якщо подіяти ацетатом свинцю в оцтовокислому середовищі на суміш двох груп дубильних речовин, таніни, які гідролізуються, випадають в осад, а конденсовані залишаються в розчині.
Вільну елагову кислоту можна виявити, якщо додати декілька кристалів нітриту нагрію і 3-4 краплі оцтової кислоти,— розчин набуває червоно-фіолетового забарвлення. Для виявлення зв’язаної елагової кислоти (гексаоксидифенової) оцтову кислоту замінюють 0,1 Н сірчаною або 0,1 Н хлороводневою кислотою. Забарвлення в цьому випадку буде карміново-червоним, поступово змінюючись на синє.
Хроматографічний аналіз використовують тільки для низькомолекулярних танінів. На хроматограмах в УФ-світлі катехіни проявляються у вигляді плям з фіолетовим відтінком, які під дією парів аміаку дають сіро-блакитну флуоресценцію. Катехіни забарвлюються ваніліновим реактивом або розчином залізоамонієвих галунів. Галова кислота в УФ-світлі має темну флуоресценцію, при обробці солями Fe3+ набуває зеленого забарвлення.
Кількісне визначення. Тепер відомо більш як сто модифікацій різних аналітичних методів. Найпоширеніший з них — метод Левенталя (ДФ XI видання). В основу його покладено окислення дубильних речовин перманганатом калію в слабкокислому середовищі в присутності індикатора індигосульфокислоти. Метод досить простий, однак на точність результатів впливає велика кількість факторів і, насамперед, здатність перманганату калію в наведених умовах окислювати інші природні речовини.
Для визначення вмісту галотанінів у листі сумаху та скумпії розроблений метод комплексонометричного титрування.
Кількісне визначення катехінів проводять фотоелектроколориметричним методом з 1 % розчином ваніліну в концентрованій хлороводневій кислоті.
У шкіряному виробництві для кількісної оцінки рослинних танінів використовують метод осадження гольєвим (шкіряним) порошком.
Біологічна дія та застосування
Експериментальні та клінічні дані, зібрані на цей час, свідчать, що реально існують, як мінімум, три види біологічної дії рослинних поліфенолів на Організм ссавців. По-перше, безпосередня дія на клітинні мембрани, гладком’язові клітини, на ферментні білки і НУКЛЕЇНОВІ КИСЛОТИ. По-друге, дія на обмін біологічно активних речовин — адреналіну, аскорбінової кислоти, ацетилхоліну. По-третє, вплив на ведучі системи нейрогуморальної і нейроендокринної регуляції.
Постійно надходячи до організму людини з рослинною їжею, поліфеноли тривало впливають на всі відділи травного тракту, а після всмоктування у Кров — на серцево-судинну систему, нирки, інші органи та системи. Основними джерелами поліфенолів у нашій їжі є плоди, ягоди. Поліфеноли у великій кількості містяться в чаї, каві, какао, а також у настоях та відварах з рослинної сировини.
Найактивнішими щодо впливу на проникність судин є катехіни та флаван-3,4-діоли.
Дубильні речовини, які надходять до організму, діють на слизову оболонку травного тракту, моторику, секреторну та засвоювальну функції. Вони мають в’яжучий смак та сприяють утворенню тонкого шару ущільненого білка. Це знижує подразнення слизової оболонки та усуває поверхневі ерозії, виразки. Рослинні поліфеноли суттєво знижують токсичну дію хімічних агентів. Першочергова роль у цьому відводиться механізму ущільнення клітинних мембран, що зашкоджує надходженню токсичних речовин до життєво важливих органів, допомагає збереженню ендогенної аскорбінової кислоти і глікогену.
Протизапальна дія поліфенолів сприяє загоєнню дрібних ран. Під впливом їх особливо ефективно зменшується і навіть усувається ексудативний компонент запальної реакції, що легко пояснити з урахуванням дії фенолів, які ущільнюють мембрани. Поліфенольні сполуки мобілізують у живому організмі власні механізми гомеостазу, стимулюють функцію кори надниркових залоз, глюкокортикоїдні гормони, завдяки чому виявляють протизапальну активність і пов’язану з нею протимікробну, протигрибкову та протистоцидну активність. Поліфеноли у тканинах рослин і тварин виконують захисну функцію, найважливішим елементом якої є антиокислювальний ефект. У ході окислювальних реакцій в організмі утворюються вільні радикали, що при взаємодії з тканинними ліпідами дають токсичні ліпідні перекиси, оксиди, які уповільнюють розмноження клітин. Рівень тканинних антиоксидантів відіграє суттєву роль у процесі росту злоякісних клітин.
Фенольні сполуки, які здатні до утворення форм, що зворотньо окислюються (фенол → семихінон → хінон), інгібують активність тіолових ферментів. Однак це не єдиний молекулярний механізм біологічної дії поліфенолів. Доведений вплив поліфенолів на активність окислювально-відновних ферментів, особливо в формі семихінон → хінон. Вивчена і достовірно встановлена пригнічуюча дія поліфенолів на десятки ензимів.
Дубильні речовини знайшли широке використання в медичній практиці. Вони виявляють в’яжучу, протизапальну і антимікробну дію. Препарати, що містять дубильні речовини, застосовують внутрішньо при гострих і хронічних колітах, ентеритах, гастритах, іноді як кровоспинний засіб при маткових та гемороїдальних кровотечах. Широко використовують дубильні речовини при запальних процесах ротової порожнини, гортані, носа у вигляді полоскань, а також при опіках, пролежнях, виразках у вигляді зрошень та змащувань. Хоча властивість зміцнювати капіляри мають всі поліфеноли, протигеморагічний ефект рослинних речовин, можливо, зумовлений не тільки їхнім впливом на судини, а й пов’язаний з посиленням згортання крові.
Катехіни призначають як Р-вітамінні засоби. Встановлена радіопротекторна дія більшості дубильних речовин, а також здатність їх до видалення з організму радіоактивних ізотопів цезію та стронцію.
Відомості про фармакологічну дію рослинної сировини і препаратів, які містять дубильні речовини, наведені в табл. 11 Додатків.
Последнее обновление: 05/02/2024
Редакционная и учебная адаптация: Данный материал сведен на основе первоисточника/оригинального текста. Команда проекта осуществила редакционную обзорную обработку, исправление технических неточностей, структурирование разделов и адаптацию содержания к учебному формату.
Что было обработано:
- устранение форматных дефектов (OCR-ошибки, разрывы структуры, дефектные символы);
- редакционное упорядочивание содержания;
- унификация терминов в соответствии с академическими источниками;
- проверка соответствия фактических утверждений текста первоисточнику.
Все упоминания об авторе, годе издания и происхождении первичного текста сохранены в соответствии с источником.