Фізіологія рослин - Мусієнко М.М. 2001
Загальні принципи регуляції росту та морфогенезу рослин
Брасини (брасиностероїди) та інші подібні до фітогормонів сполуки
Вперше брасиностероїди були виявлені в пилку ріпаку (Brassica napus), чим обумовлена і їх назва. Встановлено, що це речовина стероїдної природи з молекулярною формулою С28Н48О6. Цю сполуку назвали брасинолід:

Надалі виявилось, що ріст-регулюючу активність мають і ряд інших подібних сполук. Тому спільна їх назва — брасиностероїди. Вони зустрічаються в різних органах рослин, але найчастіше і в значних кількостях у пилку. Брасиностероїди проявляють високу біологічну активність, стимулюючи ріст (як Поділ клітин, так і їх ріст у фазу розтягування) різних органів рослин. Є дані, що за допомогою обробки рослин брасиностероїдами можна підвищити Стійкість рослин до несприятливих умов довкілля. Фізіологічна природа їх дії залишається невідомою, проте їх широке поширення, висока біологічна активність дає підставу для деяких дослідників віднести їх до фітогормонів.
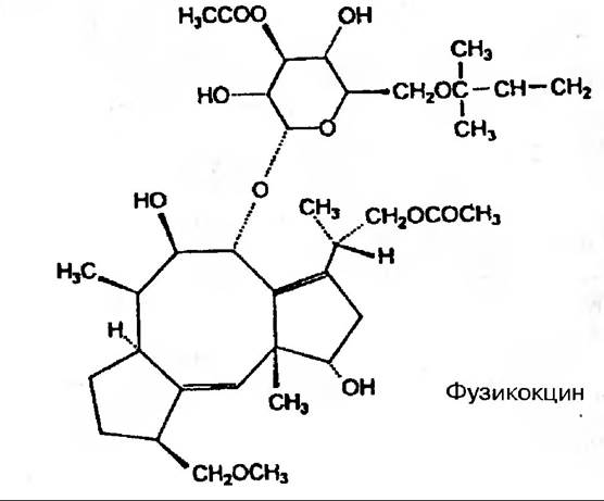
Ще одна речовина, характер дії якої подібний до фітогормонів — фузикокцин:

Він є метаболітом гриба Fussicoccum amigdali і володіє високою різносторонньою біологічною активністю. Аналогічно гіберелінам, фузикокцин відноситься до тієї ж групи хімічних сполук — дитерпенів, а також продукується фітопатогенними грибами. Г.С. Муромцев (Росія) допустив, що фузикокцин має гормональну природу, провів пошук даних речовин у вищих рослин та виявив їх в коренях і початках кукурудзи та в листках капусти. Він викликає подовження клітин у багатьох рослинних тканин, (причому більш активно, ніж ауксин), обумовлює відкривання продихів як в присутності світла, так і в темряві. Фузикокцин стимулює проростання насіння та викликає коренеутворення, що має значний практичний інтерес для рослинництва.
Більш як у 200 родів рослин ідентифікована жасмонова кислота, яка також проявляє подібні до фітогормонів властивості. Її фізіологічні функції in vivo поки мало досліджені, проте встановлено, що екзогенна жасмонова кислота (в концентрації 10-6-10-4 моль×л-1) гальмує ростові процеси і стимулює процеси Старіння ізольованих листків та плодів. Жасмонова кислота синтезується за участю гідропероксидциклази шляхом β-окислення гідропероксиліноленової кислоти:

Все це свідчить про те, що крім розглянутих нами 5 класів фітогормонів, в складі рослинних організмів можливі й інші складові компоненти, які володіють фітогормональною активністю.
Последнее обновление: 23/05/2024
Редакционная и учебная адаптация: Данный материал сведен на основе первоисточника/оригинального текста. Команда проекта осуществила редакционную обзорную обработку, исправление технических неточностей, структурирование разделов и адаптацию содержания к учебному формату.
Что было обработано:
- устранение форматных дефектов (OCR-ошибки, разрывы структуры, дефектные символы);
- редакционное упорядочивание содержания;
- унификация терминов в соответствии с академическими источниками;
- проверка соответствия фактических утверждений текста первоисточнику.
Все упоминания об авторе, годе издания и происхождении первичного текста сохранены в соответствии с источником.