Фізіологія рослин - Мусієнко М.М. 2001
Адаптація та механізми стійкості рослин
Стійкість до хвороб
Крім несприятливого впливу різноманітних абіотичних факторів, рослинний Організм зазнає дії біотичних факторів, які впливають на організм протягом усього онтогенезу. Серед них різноманітні мікроорганізми — потенційні патогени. Патоген — живий організм, вірус, який здатний спричинювати захворювання рослини-господаря. Більшість патогенів — паразити, які одержують потрібні поживні речовини від рослинного організму.
Стійкість до хвороб — це здатність рослини застерегти, стримати їх розвиток. Стійкість та схильність характеризують опірність рослин або ступінь ураження патогеном. У тому разі, коли два фізіологічні варіанти патогена зумовлюють різні реакції в того самого хазяїна, причому один спричинює захворювання, а інший ні, їх класифікують як різні раси патогена Та, що зумовлює хворобу — вірулентна, а інша — авірулентна. Звідси походження терміну расоспецифічна стійкість. Часто використовують поняття «вертикальна» і «горизонтальна стійкість". Вертикальна стійкість високоефективна проти одних рас патогенів і неефективна проти інших, тоді як горизонтальна діє проти всіх його рас, проте вона менш ефективна і легко переборюється патогеном в умовах, сприятливих для розвитку інфекції. Расоспецифічна стійкість проявляється головним чи-
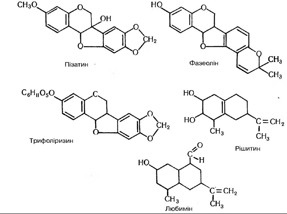
ном після того, як патоген проникнув у рослину. Вона зумовлена надчутливістю рослини, завдяки чому попереджається наступне поширення його тканинами рослини, тобто рослина виявляється імунною. Одним з головних захисних механізмів, що лежать в основі надчутливості, є синтез рослинним організмом антимікробних речовин, які називають фітоалексинами. В здорових тканинах їх немає, а синтезуються вони в пограничних з інфікованими клітинах. За рахунок їх надчутливості, фітоалексини пригнічують ріст фітопатогенів, дезактивують їхні екзоферменти. Тепер виділено та ідентифіковано значну кількість фітоалексинів, структурні формули деяких з них наведено на рис. 211.

Рис 211. Структурні формули деяких фітоалексинів
При взаємодії паразита з рослиною може утворюватись не один, а кілька фітоалексинів. Наприклад, в бульбах картоплі при інфекції несумісною расою Phytophthora infestans утворюється три фунгітоксичні речовини: рішитин, любимін та фітуберин. Фітоалексини належать до слабких антибіотиків, тому паразити можуть до них пристосуватися. Утворення в тканинах рослини бар’єра з кількох фітоалексинів підвищує захисну дію їх.
Здатність рослин продукувати фітоалексини залежить від фізіологічного стану їх. Так, молоді рослини гороху продукують значно більше пізатину, ніж старі. Утворення фітоалексинів у рослин спричинюють різні гриби, як патогенні, так і не патогенні для даної рослини, а також бактерії. Синтез фітоалексинів індукують також різні хімічні сполуки. Той же пізатин може синтезуватися під впливом іонів важких металів, метаболічних отрут (азид натрію, ціанід натрію), а також амінокислот.
Будова і властивості фітоалексинів визначаються лише генотипом рослин, а природа індуктора визначає тільки швидкість і кількість синтезу фітоалексину. Наприклад, пізатин синтезується у 58 сортів і 3 видів гороху, фазеолін — у 21 сорту і 3 видів квасолі. Доведено, що рослинний організм сприятливий до патогена тоді, коли патоген не індукує синтез фітоалексинів. Більшість високоспеціалізованих патогенів переборюють фітоалексиновий бар’єр, розкладаючи фітоалексини або гальмуючи їх синтез.
В цілому ж захисні реакції у рослин (синтез фітоалексинів, утворення білків, пов’язаних з патогенезом, лігніфікація) можуть бути індуковані цілим рядом факторів біотичної або абіотичної природи, які дістали назву "еліситерів" (провокаторів). Виявлені як неспецифічні, так і расоспецифічні еліситери. Еліситери — це високомолекулярні глюкани стінок паразита. Рослинний організм розпізнає їх за допомогою своїх мембранних рецепторів. Утворення комплексу еліситер — рецептор індукує роботу систем захисту рослини. Взаємодії еліситерів з рецепторами заважають антиеліситери — низькомолекулярні глюкани, які виділяються ростучими гіфами, пригнічуючи захисні реакції організму.
Всю сукупність ознак, які визначають відношення рослини до патогена, умовно поділяють на кілька категорій. До першої з них відносять властивості, які проявляються у рослини поза безпосередньою взаємодією з патогеном. Сюди належать, насамперед, анатомо-морфолопчні ознаки рослин (кутикула, механічні Тканини, колючки), їх хімічний склад (пролін, захисні білки, фітонциди). Речовини, що є в тканинах, можуть або сприяти розвитку інфекції, або гальмувати її.
Іншу групу становлять властивості й ознаки, яких до зараження рослини наяву немає і які виявляються лише як наслідок безпосередньої взаємодії рослини-хазяїна з патогеном. Маються на увазі потенціальні можливості, які закладені в організмі і які реалізуються лише як норма реакції на патоген.
Нарешті, до третьої категорії ознак можна віднести явища, які за своїм значенням наближаються до набутого імунітету. Суть в тому, що в результаті інфекції, зумовленої патогеном, або іншими факторами захисних реакцій, рослина стає несприйнятною до впливу збудника хвороби.
Слід підкреслити, що Стійкість рослин до хвороб генетично детермінована. Вертикальна стійкість у рослин, як правило, визначається окремими домінантними генами (моногенами), а горизонтальна — полігенами. При генетичному вивченні взаємодії системи хазяїн-паразит доведено, що здебільшого ця взаємодія пояснюється гіпотезою «ген на ген», тобто кожному гену, який контролює стійкість рослинного організму, відповідає специфічний ген, що контролює вірулентність патогена. В перспективі стратегія боротьби з хворобами рослин значною мірою визначатиметься біотехнологічними методами, зокрема, клітинною селекцією на стійкість до певних збудників.
Таким чином, аналіз фізіологічних реакцій організму на найрізноманітніші абіотичні й біотичні фактори свідчить про те, що єдиної загальної стійкості не існує Основа всякого адаптаційного процесу будується на специфічній реакції організму на несприятливий фактор, і головною ознакою адаптації є адекватна реакція на зовнішній вплив з підвищенням стійкості до пошкоджуючого фактора.
Сама адаптація — надзвичайно складне явище, що розвивається в певній послідовності у відповідних часових межах.
Початковий етап процесу адаптації характеризується зміною метаболізму в бік розпаду макромолекул білків, нуклеїнових кислот, ліпопротеїдів, порушенням енергообміну, структури біомембран, підвищенням гідролітичної активності ферментів та нагромадженням метаболітів. При зростанні впливу екстремального фактора настають незворотні зміни і загибель. Якщо ж напруга зовнішніх факторів не перевищує адаптивні можливості організму, то на певній стадії пошкодження синтетичні процеси починають переважати процеси розпаду. Відбувається реутилізація продуктів розпаду, інтенсифікація метаболічних процесів.
Отже, адаптація, одна з центральних проблем у фізіології рослин, являє собою процес пристосування структури і функцій організмів до несприятливих умов середовища.
Последнее обновление: 23/05/2024
Редакционная и учебная адаптация: Данный материал сведен на основе первоисточника/оригинального текста. Команда проекта осуществила редакционную обзорную обработку, исправление технических неточностей, структурирование разделов и адаптацию содержания к учебному формату.
Что было обработано:
- устранение форматных дефектов (OCR-ошибки, разрывы структуры, дефектные символы);
- редакционное упорядочивание содержания;
- унификация терминов в соответствии с академическими источниками;
- проверка соответствия фактических утверждений текста первоисточнику.
Все упоминания об авторе, годе издания и происхождении первичного текста сохранены в соответствии с источником.