БІОФІЗИКА РОСЛИН - Ю. І. Посудін - 2004
IІ. ПРОЦЕСИ ПЕРЕНОСУ В СИСТЕМІ РОСЛИНА-ҐРУНТ-ПОВІТРЯ
9. ПЕРЕНОС ЕНЕРГІЇ
9.3. ПЕРЕНОС ТЕПЛОТИ
9.3.1. Процеси тепловіддачі
Самочинний необоротний процес переносу теплоти, обумовлений градієнтом температури, називається теплообміном. Теплообмін, який здійснюється між поверхнею тіла та навколишнім середовищем, називається тепловіддачею. Для листка процеси тепловіддачі складаються в основному з теплового випромінювання, конвекції, теплопровідності та випаровування (транспірації).
9.3.2. Обмін через випромінювання
Інфрачервоне (або теплове) випромінювання утворюється будь- яким об'єктом, Температура якого перевищує 0 К. Згідно із законом зміщення Віна довжина хвилі λmax, на яку припадає максимум енергії в спектрі рівноважного випромінювання, обернено пропорційна абсолютній температурі Т тіла, що випромінює:
![]()
Оскільки температура довкілля становить близько 300 К, довжина світлі λmax наближається до 10 мкм. Понад 99 % випромінювання з боку довкілля має довжину хвилі близько 4 мкм, яке належить середній інфрачервоній області спектра. Атмосферне випромінювання, обумовлене участю молекул води та двоокису вуглецю, займає область 5-13 мкм. Інтенсивність цього випромінювання залежить від концентрації атмосферних газів, пилу та хмарності. Таким чином, основний вклад у постачання листку інфрачервоного випромінювання здійснюється з боку довкілля (в першу чергу, земної поверхні) та атмосфери. Цей процес описується доданком
в рівнянні (9.7). Тут a1Ч - коефіцієнт поглинання листка в інфрачервоній області спектра, який становить 0,95-0,98.
Інфрачервоне (теплове) випромінювання також утворюється листком, температура якого становить також близько 300 К.
На рис. 9.18 наведено спектральний розподіл сонячного (прямого та дифузного) випромінювання та інфрачервоного випромінювання листка. Якщо інтенсивність сонячного випромінювання дорівнює близько 840 Вт·м-2, то інтенсивність інфрачервоного випромінювання листка наближається до 900 Вт·м-2. Максимум інфрачервоного випромінювання листка припадає на довжину хвилі 10 мкм. Процес інфрачервоного випромінювання листка описується доданком
у рівнянні (9.7). Тут εл - випромінювальна здатність листка, яка становить εл = 0,96 (хоча може зменшуватися до значень εл = 0,92) [Gates, 1980]. Типові значення величин, що характеризують випромінювальний баланс (табл. 9.2), дають можливість оцінити внесок кожного з процесів у поглинання та інфрачервоне випромінювання листка.

Рис. 9.18. Спектральний розподіл сонячного (прямого та дифузного) випромінювання та інфрачервоного випромінювання листка.
Таблиця 9.2. Типові значення величин, що характеризують випромінювальний баланс листка [Nobel, 1983]
Умови |
ЕС↓ Вт·м-2 |
Вт·м-2 |
Т3, °С |
ТА, °С |
Вт·м-2 |
ТЛ, °С |
Вт·м-2 |
R, Вт·м-2 |
Ясний день, рівень моря |
840 |
605 |
20 |
-20 |
624 |
25 |
859 |
370 |
Ясний день, 2000 м |
1050 |
756 |
20 |
-25 |
607 |
36 |
993 |
370 |
Сріблистий листок (а=0,5), 2000 м |
1050 |
630 |
20 |
-25 |
607 |
26 |
867 |
370 |
Хмарна ніч, рівень моря |
0 |
0 |
0 |
1 |
614 |
1 |
614 |
0 |
Ясна ніч, рівень моря |
0 |
0 |
0 |
-20 |
530 |
-1 |
597 |
-67 |
Примітка. Умовні позначення: ЕС↓ - сумарна енергетична освітленість сонячним випромінюванням земної поверхні,
- поглинуте сонячне випромінювання, ТЗ - температура ґрунту, ТА - температура атмосфери,
- поглинуте інфрачервоне випромінювання, ТЛ - температура листка,
- інфрачервоне випромінювання листка, R - сумарне випромінювання.
Приклад. Розрахувати випромінювальний баланс листка при таких параметрах: сумарна енергетична освітленість сонячним випромінюванням земної поверхні ЕС↓ = 840 Вт·м-2, коефіцієнт поглинання листка у видимій області спектра ал = 0,6, коефіцієнт поглинання листка в інфрачервоній області спектра а1Ч = 0,96, коефіцієнт відбивання земної поверхні а3 = 0,20, випромінювальна здатність листка в інфрачервоній області спектра εЛ = 0,96, температура земної поверхні ТЗ = 293 К, температура атмосфери ТА = 253 К, температура листка ТЛ = 298 К.
Розв’язання. Поглинуте у видимій області спектра випромінювання дорівнює:
![]()
Поглинуте в інфрачервоній області спектра випромінювання дорівнює:
![]()
Інфрачервоне випромінювання листка визначають за виразом:
![]()
Звідси сумарне випромінювання становить:
![]()
9.3.3. Обмін через конвекцію
Конвекція - перенесення теплоти в рідинах, газах або сипких середовищах потоками речовини. Є різні види конвекції залежно від причин, що її породжують. Вільна конвекція виникає в полі сили тяжіння через неоднорідності густини, які спричинюються різницею температур. Нагріта речовина під впливом архімедової сили переміщується відносно менш нагрітої речовини у напрямку, протилежному напрямку сили тяжіння. Вимушена конвекція викликається зовнішнім механічним впливом на середовище - наприклад, за рахунок вітру. Збільшення швидкості вітру викликає збільшення кількості теплоти, розсіяної завдяки вимушеній конвекції. Поблизу поверхні листка утворюється граничний шар повітря, в якому відбувається перехід від нерухомого повітря до повітряного потоку. Ефективна товщина граничного шару dгр залежить від швидкості вітру та розмірів листка [Nobel, 1983]:
![]()
де L - середній розмір листка, який вимірюють у напрямку вітру, V - швидкість вітру. Коефіцієнт 4,0 має розмірність м·с1/2. Залежність ефективної товщини граничного шару d від швидкості вітру та розмірів листка проілюстрована у табл. 9.3.
Таблиця 9.3. Залежність ефективної товщини граничного шару d від швидкості вітру та розмірів листка
L, M |
v, M·c-1 |
||||||
0,10 |
0,28 |
0,45 |
1,00 |
2,78 |
4,47 |
10,00 |
|
0,002 |
0,57 |
0,34 |
0,27 |
0,179 |
0,107 |
0,085 |
0,057 |
0,01 |
1,26 |
0,76 |
0,60 |
0,4 |
0,24 |
0,189 |
0,126 |
0,05 |
2,8 |
1,69 |
1,33 |
0,89 |
0,54 |
0,42 |
0,28 |
0,25 |
6,3 |
3,8 |
3,0 |
2,0 |
1,20 |
0,95 |
0,63 |
0,50 |
8,9 |
5,3 |
4,2 |
2,8 |
1,70 |
1,34 |
0,89 |
Приклад. Розрахувати товщину граничного шару для плоского листка довжиною 10 см, якщо температура листка Тл = 25 °С, температура оточуючого повітря Т = 20 °С, а швидкість вітру 0,8 м·с-1.
Розв'язання. Підставляємо числові дані у рівняння (9.9):
![]()
Для листків та рослинних продуктів циліндричної форми товщина граничного шару визначається за виразом:
![]()
де D - діаметр циліндра.
Для визначення товщини граничного шару поблизу поверхні рослинних об'єктів сферичної форми доцільно використовувати такий вираз:
![]()
де D - діаметр сфери.
Для оцінки густини конвекційного потоку теплоти застосовують рівняння:
![]()
де
- коефіцієнт конвекції,
- коефіцієнт пропорційності, V (м·с-1) - швидкість руху повітря вздовж поверхні листка (швидкість конвекційного потоку), L(м) - характеристичний розмір листка, Тл - температура листка, Тп - температура повітря.
9.3.4. Обмін через теплопровідність
Теплопровідність - перенесення тепла від більш нагрітих тіл до менш нагрітих, що призводить до вирівнювання температури. Тепловий потік JQ, що проходить через одиницю площі подвійного граничного шару за одиницю часу та виноситься конвекційним потоком, залежить від коефіцієнта теплопровідності λп повітря (табл. 9.4) та градієнта температури ![]()
![]()
де тепловий потік JQ вимірюється у Вт·м-2. Тепловий потік вважається додатним, якщо теплота переноситься з листка у повітря, і від’ємним у протилежному разі.
Таблиця 9.4. Значення коефіцієнта теплопровідності повітря
Коефіцієнт теплопровідності сухого повітря, Вт·м-1·К-1 |
Температура повітря, °С |
- 0,0237 |
-10 |
0,0243 |
0 |
0,0250 |
10 |
0,0257 |
20 |
0,0264 |
30 |
0,0270 0,0277 |
40 50 |
Приклад. Визначити тепловий потік JQ, обумовлений теплопровідністю, для плоского листка довжиною 10 см, якщо температура листка Tл = 25 °С, температура оточуючого повітря Тп = 20 °С, а товщина граничного шару дорівнює 1,4 мм.
Розв’язання. Підставимо числові дані у рівняння (9.13):
![]()
Для рослинних об'єктів циліндричної форми радіусом r тепловий потік JQ, обумовлений теплопровідністю, визначається за виразом:

де Т - температура поверхні циліндричного об'єкта, Тп - температура оточуючого повітря.
Для рослинних об'єктів сферичної форми радіусом r тепловий потік JQ, обумовлений теплопровідністю, визначається так:
![]()
Де Тсф- температура поверхні сферичного об'єкта.
9.3.5. Обмін через випаровування
Процес переносу маси (водяної пари) через випаровування було розглянуто у розділі 7.1 "Транспірація". Метою даного розділу є вивчення процесу переносу теплоти через випаровування. Відомо, що транспіраційний потік залежить від градієнта тиску, який існує між листком та оточуючим повітрям і являє собою рушійну силу:
![]()
де ел та еп — тиск водяної пари в листку та повітрі відповідно.
З урахуванням опору, якого зазнає транспіраційний потік з боку листка (Rл) та граничного шару (Rп), можна записати таке рівняння:
![]()
Слід відзначити, що внутрішній повітряний простір листка насичений (або майже насичений) водяною парою [Hopkins, 1999]. Отже, рівняння для транспіраційного потоку матиме такий вигляд:
![]()
де Ел та Еп - тиск насиченої пари у внутрішньому повітряному просторі листка та у зовнішньому повітрі відповідно, r - відносна вологість зовнішнього повітря (яка змінюється від 0 до 1,0).
Використовуючи рівняння (7.6), останній вираз можна перетворити так:
![]()
де D - коефіцієнт дифузії, Δz - відстань, уздовж якої відбувається потік.
У процесі випаровування молекули рідини з найбільшою швидкістю і кінетичною енергією залишають поверхню листка, в результаті чого температура поверхні знижується. Отже, перенос маси внаслідок транспірації супроводжується переносом теплоти. Втрати теплоти через пароутворення λЕ залежать від прихованої теплоти пароутворення λ (яка при 30 °С дорівнює для води 2,43 · 106 Дж·кг-1) та швидкості транспірації Е.
Типове значення енергії, необхідної для випаровування одиниці поверхні листка при певній температурі, становить Е = 4 ммоль·м-2·с-1. Отже, транспіраційний потік, завдяки якому відбувається перенос теплоти на певну ефективну відстань Δz, можна визначити за таким виразом.
![]()
Приклад. Виразити приховану теплоту пароутворення λ води в кДж·моль-1, якщо вона становить: а) λ = 2,430 · 106 Дж·кг-1 при температурі 30 °С; б) вона становить, a) λ = 2,501 · 106Дж·кг-1при температурі 0 °С.
Розв’язання. Молярна маса води дорівнює сумі атомних мас атомів у молекулі, тобто М = 2·1,00797 + 1·15,9994 = 18,0153. Отже, один моль води (грам·моль, г·моль) дорівнює 18,0153 г. Приховану теплоту пароутворення у кДж·моль-1 можна визначити за виразом:
λ (кДж·моль-1) = λ (Дж·кг-1) · М.
Звідси, прихована теплота пароутворення при температурі 30 °С дорівнює λ = 2,430·106 Дж·кг-1 · 18,0153·10-3 кг = 43,78 кДж·моль-1, а при температурі 0 °С λ = 2,501·106 Дж·кг-1 · 18,0153·10-3 кг = 45,06 кДж·моль-1.
Приклад. Визначити транспіраційний потік через мезофільну тканину листка, якщо прихована теплота пароутворення при температурі 25 °С дорівнює λ = 44,0 кДж·моль-1.
Розв’язання. Використовуємо формулу (9.24), в яку підставляємо числові значення:
JQ = λЕ = 44,0°103 Дж·моль-1 · 4·10-3 моль·м-2·с-1 = 176 Вт·м-2.
Повернемося до рівняння (9.21). Опір Rn, якого зазнає транспіраційний потік з боку граничного шару, залежить від розмірів листка А(уздовж напрямку повітряного потоку) і В (упоперек напрямку повітряного потоку), а також від швидкості V поширення вітру [Gates, 1980]:
![]()
де k2 = 200 c1/2m-1.
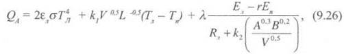
Отже, рівняння, що характеризує стаціонарний енергетичний баланс листка, має такий вигляд.

де Qa - поглинута листком енергія
9.3.6. Температура листка
Температура листка залежить від багатьох параметрів - випромінювання, що падає на листок, температури і відносної вологості оточуючого повітря, швидкості вітру, швидкості транспірації. Для фіксованих певних параметрів (розмір листка 0,05 м, внутрішній опір водному потоку 200 м·с-1, температура повітря 30 °С, відносна вологість 50 %) залежність температури листка від випромінювання, конвекції та транспірації можна подати у вигляді табл. 9.5.
Таблиця 9.5. Температура листка при різних умовах [Gates, 1980]
Ri, Вт·м-2 |
Вплив лише Rn |
Вплив Rn+C |
Вплив Rn+C+T |
||||
V=0,1 м·с-1 |
V=1,0 м·с-1 |
V=5,0 м·с-1 |
V=0,1 м·с-1 |
V=1,0 м·с-1 |
V=5,0 м·с-1 |
||
419 |
20,0 |
27,0 |
28,7 |
29,4 |
23,7 |
26,0 |
27,8 |
698 |
60,0 |
41,0 |
34,6 |
32,3 |
34,1 |
31,3 |
30,7 |
977 |
89,2 |
55,0 |
40,5 |
35,1 |
44,5 |
36,8 |
34,4 |
Примітка. Умовні позначення: R - поглинуте випромінювання, Rn - перевипромінювання, С - конвекція, Г - транспірація, V - швидкість вітру.
Видно, що під впливом лише падаючого випромінювання температура листка зростає від 20 °С до 89,2 °С. Починаючи з інтенсивності випромінювання 698 Вт·м2 конвекційні потоки зменшують температуру листка, причому рівень зменшення залежить від швидкості V вітру, а транспірація посилює процес охолодження листка.
Последнее обновление: 05/02/2024
Редакционная и учебная адаптация: Данный материал сведен на основе первоисточника/оригинального текста. Команда проекта осуществила редакционную обзорную обработку, исправление технических неточностей, структурирование разделов и адаптацию содержания к учебному формату.
Что было обработано:
- устранение форматных дефектов (OCR-ошибки, разрывы структуры, дефектные символы);
- редакционное упорядочивание содержания;
- унификация терминов в соответствии с академическими источниками;
- проверка соответствия фактических утверждений текста первоисточнику.
Все упоминания об авторе, годе издания и происхождении первичного текста сохранены в соответствии с источником.