Биохимия аминокислот - А. Майстер 1961
Природные аминокислоты
Другие природные аминокислоты
Другие аминокислоты
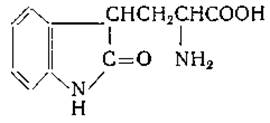
L-Цитруллин (a-амино-δ-карбамидовалерьяновая кислота)
![]()
Цитруллин, впервые обнаруженный в свободном виде в соке арбуза [181], в дальнейшем был найден и в других растениях [182, 183], а также в тканях животных [184]. Наличие цитруллина в ферментативных гидролизатах казеина объясняют расщеплением аргинина. (О роли цитруллина в образовании мочевины см. на стр. 338.)
Октопин [N-а-(1-карбоксиэтил) Аргинин]

Октопин встречается в свободном виде в мышцах некоторых моллюсков и осьминога [267—270]. Его можно рассматривать как продукт восстановления основания Шиффа, образующегося при конденсации пировиноградной кислоты и аргинина [271]. В состав молекулы природного октопина входит остаток аргинина в L-конфигурации и остаток D-аланина. Синтетически получен «изооктопин», в молекуле которого оба симметрических атома имеют L-конфигурацию [272].
L-Пипеколиновая кислота (пиперидин-2-карбоновая кислота)

L-Пипеколиновая кислота встречается в свободном состоянии в растительных тканях; значительные количества ее найдены в растениях семейства бобовых [273—275]. Пипеколиновая кислота является продуктом обмена лизина (стр. 427).
5-Оксипипеколиновая кислота (5-оксипиперидин-2-карбоновая кислота)

Это соединение выделено из листьев пальмы Rhapis excelsa и из других растений, в том числе из мякоти плодов финиковой пальмы Phoenix dactylifera [207, 276]. Природная 5-оксипипеколиновая кислота при хроматографическом исследовании оказалась идентичной синтетическому продукту; аналитические данные и исследование инфракрасного спектра поглощения подтвердили указанное выше Строение молекулы этого соединения. Предполагают, что между 5-оксипипеколиновой кислотой и 5-оксилизином в процессах обмена существуют такие же взаимоотношения, как между пипеколиновой кислотой и лизином (стр. 433).
L-Байкиаин (1,2,3,6-тетрагидропиридин-а-карбоновая кислота)

Байкиаин выделен из водной вытяжки древесины южноафриканского тикового дерева (Baikiaea plurijuga) [277]. Кроме того, имеются данные, свидетельствующие о наличии 5-бутилпиколиновой кислоты в грибе Fusarium lycopersici [278]. Родственное ей соединение, дипиколиновая кислота, выделено из прорастающих спор Bacillus megatherium [279]; из бактериальных спор получен также моноэтиловый эфир дипиколиновой кислоты [576]:
![]()
Азетидин-2-карбоновая кислота

Азетидин-2-карбоновая кислота обнаружена на хроматограммах экстрактов ландыша (Convallaria majalis L.); это соединение было выделено и оказалось идентичным синтетически полученному продукту. Азетидин-2-карбоновая кислота, гомолог пролина, отличается наличием в молекуле редко встречающегося четырехчленного цикла. Эта аминокислота относительно устойчива к действию щелочей, но разлагается при обработке соляной кислотой с образованием y-амино-а-хлормасляной кислоты, y-хлор-a-аминомасляной кислоты и гомосерина. При обработке йодистоводородной кислотой азетидин-2-карбоновая кислота дает смесь гомосерина, y-аминомасляной и а-аминомасляной кислот [280].
3,4-Диоксифенил-L-Аланин (ДОФА)
![]()
Эта аминокислота найдена в экстрактах некоторых растений [281—283], в которых она, вероятно, образуется в результате окисления тирозина. Она является промежуточным продуктом при образовании меланинов и, возможно, при других процессах обмена (стр. 423). Вопрос о том, встречается ли ДОФА в составе белков, окончательно не решен; отсутствие этой Аминокислоты в белковых гидролизатах можно объяснить большой склонностью этого соединения к спонтанному окислению.
β-(n-Метоксифенил)-L-аланин (О-метил-L-Тирозин)
![]()
Эта аминокислота выделена из антибиотика пуромицина [284]. Строение этого антибиотика рассматривается ниже (стр. 78).
L-Кинуренин (β-антранилоил-а-аминопропионовая кислота)

Кинуренин впервые был обнаружен в моче кроликов после введения им с пищей больших доз триптофана [285]; установлено строение этой аминокислоты [286]. Кинуренин представляет собой один из главных промежуточных продуктов обмена триптофана; он окисляется в 3-окси-L-кинуренин

который, вероятно, является предшественником никотиновой кислоты (стр. 400).
3-Оксикинуренин выделяется с мочой у животных при недостаточности витамина В6. Кроме того, он найден в моче некоторых туберкулезных больных; по-видимому, положительная диазореакция по Эрлиху, характерная для такой мочи [287], обусловлена главным образом этим соединением.
5-Окси-L-Триптофан

5-Окситриптофан, предшественник серотонина, является промежуточным продуктом в превращениях триптофана, связанных с декарбоксилированием (стр. 201). Образование 5-окситрипто фана из триптофана наблюдали у Chromobacterium violaceum [288]. Описан синтез этой аминокислоты [289].
β-3-Оксиндолаланин

ß-3-Оксиндолаланин был выделен из гидролизатов фаллоидина (ядовитого пептида из гриба Amanita phalloidea) Виландом и Виткопом [290]. По всей вероятности, эта аминокислота как таковая не является составной частью пептида, хотя и образуется при его гидролизе [291] (см. также стр. 399).
D-Циклосерин (оксамицин; 4-аминоизоксазолидон-З)

Этот антибиотик выделен из Streptomyces orchidaceus; опубликованы данные, доказывающие приведенную выше структуру молекулы [292—294].
Розеонин [2-амино-4 (или 5)- (1-карбокси-1-окси-2-амино) этил-2-имидазолин]

Эта аминокислота получена из антибиотика розеотрицина, выделенного из Streptomyces roseochromogenus. Химические свойства вещества согласуются со структурой молекулы, изображенной выше [295]. Гидролизаты розеотрицина содержат также ß-Лизин.
Мимозин (3-окси-4-оксо-1 (4Н)-пиридиналанин; β-[N-(3-оксипиридон-4)]- a-аминопропионовая кислота)

Эта аминокислота, известная также под названием лейценин, лейценол или люцинол, выделена из Leucaena glauca Bentham и из Mimosa pudica [296, 297]. Строение ее установлено, и описан ее полный химический синтез.
При исследовании оптической активности мимозина ([а]22D = —21° в воде; [a]23D = +10° в 1-процентной НСl) оказалось, что он легко рацемизуется [298]. Ввиду токсического действия мимозина на животных (кроме жвачных) он представляет особый интерес.
алло-4-Окси-L-Пролин (алло-4-оксипирролидин-2-карбоновая кислота)

Эта аминокислота выделена из гидролизатов фаллоидина—пептида, обусловливающего токсичность ядовитых грибов Amanita phattoides [290]. Кроме того, она встречается в свободном состоянии в листьях и цветах сандалового дерева (Santalum album) [299].
Последнее обновление: 05/02/2024
Редакционная и учебная адаптация: Данный материал сведен на основе первоисточника/оригинального текста. Команда проекта осуществила редакционную обзорную обработку, исправление технических неточностей, структурирование разделов и адаптацию содержания к учебному формату.
Что было обработано:
- устранение форматных дефектов (OCR-ошибки, разрывы структуры, дефектные символы);
- редакционное упорядочивание содержания;
- унификация терминов в соответствии с академическими источниками;
- проверка соответствия фактических утверждений текста первоисточнику.
Все упоминания об авторе, годе издания и происхождении первичного текста сохранены в соответствии с источником.