Биохимия и молекулярная биология - Белясова Н.А. 2002
Структура и функции клеточных компонентов
Биомембраны
Особенности организации мембранных липидов
В биомембранах присутствует несколько основных классов липидов: фосфоглицеролипиды, фосфосфинголипиды, гликоглицеролипиды, гликосфинголипиды, стеролы. Разнообразие представителей этих классов огромно: в любой конкретной мембране может содержаться до ста разных типов липидных молекул, что, очевидно, связано с разнообразием их функций. Однако основной функцией липидов в биомембранах служит структурная — ЛИПИДЫ формируют двухслойный матрикс, в котором находятся белковые молекулы.
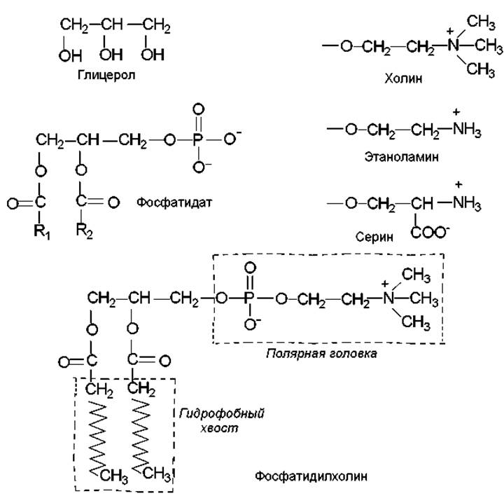
Фосфоглицеролипиды. Этот Класс липидов в количественном отношении преобладает в большинстве биологических мембран. Наибольшее распространение получили следующие фосфоглицеролипиды: фосфатидилхолин, фосфатидилэтаноламин, фосфатидилсерин, дифосфатидилглицерол (кардиолипин). Основу молекул фосфоглицеролипидов представляет трехатомный спирт глицерол. Две его гидроксильные группы этерифицированы двумя остатками жирных кислот, а третья — остатком фосфорной кислоты. Образованная в результате молекула представляет собой основной предшественник всех фосфоглицеролипидов — фосфатидную кислоту (рис. 4.1).
В клетке присутствует небольшое количество фосфатидата, поскольку он является ключевым промежуточным соединением для синтеза всех фосфоацилглицеролов. Последние образуются в ходе реакции этерификации фосфатной группы гидроксильной группой одного из спиртов. На рис. 4.1 представлены структурные формулы наиболее часто встречающихся в мембранах полярных спиртов, а также структура одного из фосфоглицеролипидов — фосфатидилхолина (лецитина).

Рис. 4.1. Строение молекул фосфоглицеролипидов и их структурных компонентов. R1 и R2 — остатки углеводородных цепей жирных кислот
Жирные кислоты в составе фосфолипидов почти всегда содержат четное число атомов углерода (от 14 до 24). Среди них наиболее распространены следующие: пальмитиновая (16:0), пальмитолеиновая (16:1 ∆9), стеариновая (18:0), олеиновая (18:1 Д9), линолевая (18:2 ∆9,12), у-линоленовая (18:3 ∆6,9,12), a-линоленовая (18:3 ∆9,12,15), арахиновая (20:0), арахидоновая (20:4 ∆5,8,11,14). В скобках указано число атомов углерода: число двойных связей, число атомов углерода (∆) от карбоксильной группы до двойной связи.
Фосфоглицеролипиды выполняют в мембранах структурную функцию. Фосфатидилхолин служит основным компонентом мембран животных клеток, фосфатидилэтаноламин чаще встречается в мембранах бактерий. Это сильно амфифильные молекулы, поскольку содержат в структуре две неравнозначные по свойствам группировки: полярную гидрофильную головку и неполярный гидрофобный хвост (рис. 4.1).
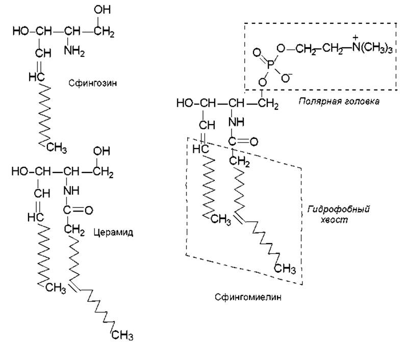
Фосфосфинголипиды. Это также сильно амфифильные молекулы. Они образованы на основе аминоспирта сфингозина, который имеет длинную негидролизуемую ненасыщенную углеводородную цепь (рис. 4.2). Первичным сфинголипидом, из которого образуются все классы неглицероловых липидов, является церамид (рис. 4.2). Он формируется в результате присоединения жирной (чаще моноеновой) кислоты к центральной аминогруппе сфингозина с образованием амидной связи.
Фосфосфинголипиды представляют собой церамиды, у которых оставшаяся спиртовая группа этерифицирована фосфатным производным (фосфорилхолином, фосфорилэтаноламином, фосфорилинозитолом, фосфорилглицеролом). Церамид, этерифицированный фосфорилхолином называется сфингомиелином (рис. 4.2). Сфингомиелин преобладает в мембранах животных клеток, выполняя там в основном структурную функцию.

Рис. 4.2. Структурные компоненты и строение молекул фосфосфинголипидов на примере сфингомиелина (церамид-1-фосфорилхолина)
Гликоглицеролипиды. Представляют собой полярные липиды, построенные на основе глицерола, у которого гидроксил у третьего атома углерода участвует в образовании гликозидной связи с каким-либо углеводом. Роль углеводных единиц чаще выполняют остатки галактозы или 6-сульфо-6-дезокси-а-D-глюкопиранозил, при этом образуются, соответственно, моногалактозилдиацилглицерол и сульфолипид (рис. 4.3). Гидроксилы двух остальных атомов углерода в гликоглицеролипидах так же, как в фосфоглицеролипидах, этерифицированы жирными кислотами. Моногалактозилдиацилглицерол считается самым распространенным в природе полярным липидом, поскольку на его долю приходится до половины всех липидов тилакоидных мембран хлоропластов. Гликоглицеролипиды выполняют в основном рецепторную функцию.
Гликосфинголипиды. Молекулы этих липидов построены на основе церамида, к концевой гидроксильной группе которого с помощью гликозидной связи присоединяются моно- либо Олигосахариды. Те гликосфинголипиды, у которых углеводная часть представлена моносахаридами, носят название цереброзиды. Цереброзиды присутствуют в высоких концентрациях в мозге и нервных тканях млекопитающих. В частности, галактоцереброзид (рис. 4.4) является основным компонентом миелиновой оболочки нервного волокна.
Сфинголипиды, у которых углеводная часть представлена коротким кислотным, как правило, разветвленным олигосахаридом, называются ганглиозидами. Кислотность этого класса гликолипидов обусловлена присутствием в них в качестве ветвей углеводной цепи моносахарида нейраминовой кислоты или ее N-ацетил-производного (рис. 4.4).
Гликосфинголипиды участвуют в регуляции клеточного метаболизма, в частности играют роль в регуляции роста клеток. Кроме того, Гликолипиды данного класса можно считать молекулами-медиаторами: они выполняют сигнальные Функции, воспринимая и передавая сигналы. Гликосфинголипиды мембран эритроцитов несут Антигены Группы крови.

Рис. 4.3. Структура некоторых гликоглицеролипидов. R1 и R2 — углеводородные цепи жирных кислот

Рис. 4.4. Компоненты и структурные формулы некоторых липидов
Стеролы (стероидные спирты). Эти вещества относят к простым («неомыляемым») липидам, не содержащим жирных кислот. Все стеролы содержат ß-гидроксильную группу при С-3, одну или несколько двойных связей в кольце В и не содержат карбоксильные и карбонильные группы. Эти липиды присутствуют во многих мембранах растений, животных и микроорганизмов, выполняя различные функции: структурную, регуляторов текучести мембран, предшественников витаминов и гормонов у растений и животных и др. Наиболее распространенным стеролом мембран животных и многих бактерий является Холестерол (рис. 4.4). Это слабо амфифильная молекула. Она включает жесткое гидрофобное полициклическое Ядро и полярную головку, представленную гидроксильной группой.
Жесткость полициклического кольца холестерола сообщает мембранам специфические свойства, стабилизируя их текучесть. Холестерол у животных и человека выполняет роль предшественника всех стероидных гормонов и витамина D, является компонентом желчных кислот, облегчающих всасывание жирных кислот в кишечнике. В некоторых мембранах, например, эритроцитов млекопитающих он составляет 40—60% всех липидов. В клетках растений, водорослей, мицелиальных грибов и дрожжей образуется множество родственных холестеролу соединений: эргостерол, ß-ситостерол, стигмастерол и др.
Последнее обновление: 05/02/2024
Редакционная и учебная адаптация: Данный материал сведен на основе первоисточника/оригинального текста. Команда проекта осуществила редакционную обзорную обработку, исправление технических неточностей, структурирование разделов и адаптацию содержания к учебному формату.
Что было обработано:
- устранение форматных дефектов (OCR-ошибки, разрывы структуры, дефектные символы);
- редакционное упорядочивание содержания;
- унификация терминов в соответствии с академическими источниками;
- проверка соответствия фактических утверждений текста первоисточнику.
Все упоминания об авторе, годе издания и происхождении первичного текста сохранены в соответствии с источником.