Биологические мембраны - А. Н. Огурцов 2012
Электрогенез биомембран
Неравновесная термодинамика биомембран
Электрохимический потенциал
Подходы равновесной термодинамики используются при рассмотрении процессов переноса вещества через Биологические мембраны.
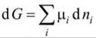
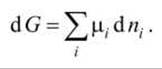
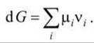
В клетке химические превращения и перенос веществ проходят при Т = const и р = const. Поэтому уравнение
![]()
принимает вид
![]()
При одном обороте реакции количество молекул исходных веществ и продуктов пропорционально соответствующим стехиометрическим коэффициентам v так, что изменение числа молей ∆ni = vi. Это справедливо, когда в результате одного оборота реакции число превращённых молекул существенно меньше общего числа молекул реагентов в смеси.
Тогда выражение
![]()
запишется как
![]()
По правилу знаков vi < 0 для исходных веществ и vi > 0 для продуктов реакции.
Рассмотрим процесс переноса вещества через мембрану из фазы А в фазу В, если фазы отличаются химическими потенциалами μА и μB. В этом случае
![]()
Поскольку vА = -vB = v, то
![]()
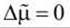
состоянии равновесия ∆G = 0, следовательно
![]()
или
![]()
В более общем случае между двумя фазами, разделёнными мембраной, могут происходить два типа процессов: перенос незаряженных частиц благодаря разности концентраций сA и сB (осмотическая работа) и перенос заряженных частиц (электрическая работа). В таком случае изменение свободной энергии будет определяться разностью электрохимических потенциалов
![]()
Электрохимический потенциал
- это полный потенциал, учитывающий химический потенциал μ системы и электрическую работу по переносу заряженных частиц
![]()
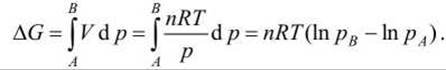
При постоянных температуре и составе системы изменение энергии Гиббса в процессе, который переводит систему из состояния А в состояние В равно
![]()
Для газа однородного состава химический потенциал
![]()
равен изменению энергии Гиббса при добавлении одного моля газа к бесконечно большому количеству этого же газа. Поэтому
![]()
где μ0 - стандартный химический потенциал при давлении 1 атмосфера.
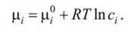
Аналогично можно записать химический потенциал компонента і смеси газов с учётом связи давления р с концентрацией p = cRT. Пусть μ0i - стандартный химический потенциал компонента z в случае, когда его концентрация равна единице. Тогда химический потенциал компонента і смеси газов
![]()
Электрическая работа равна
![]()
где z - валентность иона; F = 96500 Кл - число Фарадея (заряд одного моля одновалентных ионов); φ - электрический потенциал на границе раздела фаза - окружающая среда.
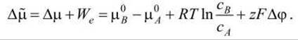
Для случая переноса через мембрану из фазы А в фазу В нейтральных веществ и ионов изменение электрохимического потенциала имеет вид
![]()
Условием равновесия является ∆G = 0. Тогда в общем случае, когда имеется перенос нейтральных и заряженных частиц, равновесие будет определяться соотношением ![]()
или равенством электрохимических потенциалов ![]()
Последнее обновление: 05/02/2024
Редакционная и учебная адаптация: Данный материал сведен на основе первоисточника/оригинального текста. Команда проекта осуществила редакционную обзорную обработку, исправление технических неточностей, структурирование разделов и адаптацию содержания к учебному формату.
Что было обработано:
- устранение форматных дефектов (OCR-ошибки, разрывы структуры, дефектные символы);
- редакционное упорядочивание содержания;
- унификация терминов в соответствии с академическими источниками;
- проверка соответствия фактических утверждений текста первоисточнику.
Все упоминания об авторе, годе издания и происхождении первичного текста сохранены в соответствии с источником.