ЗАГАЛЬНА МІКРОБІОЛОГІЯ - Т.П. Пирог - 2004
6. РІСТ МІКРООРГАНІЗМІВ
6.4. ФІЗІОЛОГІЯ РОСТУ
6.4.6. Параметри кривої росту
Основними параметрами кривої росту (рис. 6.9) є врожай біомаси (біомаса), швидкість росту та тривалість лаг-фази (у разі, якщо ріст періодичної культури аналізують за збільшенням біомаси, а не за кількістю клітин).
Урожай (біомаса, рівень біомаси) — це різниця між максимальною та вихідною біомасою бактерій:
![]()
Цю величину виражають у грамах сухої речовини. Важливим показником є відношення врожаю клітин до кількості спожитого субстрату — X/S. Якщо ці дві величини виражені у вагових одиницях, то відношення X/S називають економічним коефіцієнтом (Y). Якщо врожай у грамах відноситься до кількості молей спожитого субстрату, то одержану величину називають молярних економічним коефіцієнтом.
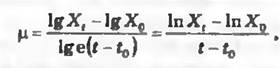
Швидкість експоненційного росту — це міра швидкості росту клітин в експоненційній фазі. Її визначають за формулою виходячи з початкової та кінцевої біомаси Х0 та Xt у моменти часу t0 та t:

д· Ige = 0,43420.
Тривалість подвоєння визначається за формулою
![]()
Для «стандартних" клітин μ = ln 2v і t0 = g.
Тривалість лаг фази (Т1) — визначають як проміжок часу між моментом t0, в який культура досягла певної біомаси X0 і моментом tt, в який вона могла б досягти такої самої біомаси, якби відразу ж після інокуляції починався експоненційний ріст.

Рис 6.9.. Параметри росту:
А - урожай клітин (біомаса): В - швидкість росту; В - тривалість лаг-фази
Последнее обновление: 05/02/2024
Редакционная и учебная адаптация: Данный материал сведен на основе первоисточника/оригинального текста. Команда проекта осуществила редакционную обзорную обработку, исправление технических неточностей, структурирование разделов и адаптацию содержания к учебному формату.
Что было обработано:
- устранение форматных дефектов (OCR-ошибки, разрывы структуры, дефектные символы);
- редакционное упорядочивание содержания;
- унификация терминов в соответствии с академическими источниками;
- проверка соответствия фактических утверждений текста первоисточнику.
Все упоминания об авторе, годе издания и происхождении первичного текста сохранены в соответствии с источником.