Основы биоинформатики - Огурцов А.Н. 2013
Методы биоинформационного анализа
Матрицы замен
Вычисление счёта выравнивания последовательностей
Рассмотрим процедуру вычисления счёта выравнивания на примере двух последовательностей:
1) альфа-глобин человека HBA UUMAN

2) леггемоглобин жёлтого люпина LGB2LUPLU

С помощью матрицы BLOSUM50 (таблица 13) и аффинного штрафа за пропуски y(g) = -d - (g -1)е вычислим при d = 12 и е = 2 счёт S1 следующего фрагмента выравнивания
![]()
фрагмента альфа-глобина человека
![]()
и соответствующего фрагмента леггемоглобина жёлтого люпина
![]()
Полный счёт всякого выравнивания представляет собой сумму счётов замен выровненных аминокислот и штрафов за пропуски, определяемых по формуле y(g) = -12 - (g - 1) ∙ 2, где g - длина пропуска. В рассматриваемом случае получаем

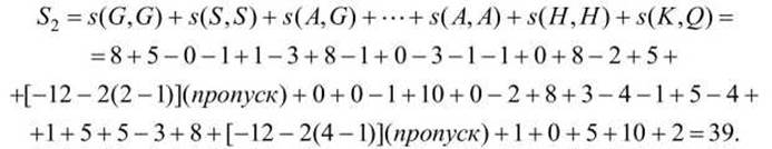
При тех же условиях вычислим счёт S2 выравнивания фрагмента альфа-глобина человека HBA_UUMAN и соответствующего фрагмента глутанион-S-трансферазы нематоды GST7_CAEEL

Рассмотрим следующий фрагмент выравнивания
![]()
Получаем

Выравнивание этих двух пар фрагментов последовательностей показало, что структурно и эволюционно правдоподобное выравнивание альфа-глобина человека с леггемоглобином (первое выравнивание) получило более низкий счёт, чем выравнивание альфа-глобина человека с никак не относящейся к нему последовательностью белка нематоды (второе выравнивание). Этот пример подчёркивает важность экспертной биологически значимой оценки при заключении о гомологии на основании компьютерного анализа.
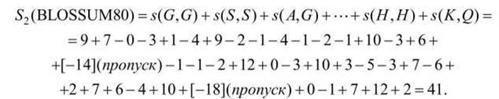
Те же счёта, но для других матриц BLOSSUM (таблицы 12, 14, 15) будут иметь вид


Контрольные вопросы и задания
1. Какие существуют два метода количественного измерения расстояния между двумя данными строками последовательностей?
2. Какие бывают виды штрафов за делеции?
3. Что такое матрица РАМ?
4. Чему соответствует расстояние между последовательностями в 1 РАМ?
5. Показать, чему равна вероятность мутации замены V↔M, если в матрице РАМ250 соответствующая цена мутации равна
6. В чём отличие принципа построения матриц BLOSUM от РАМ?
7. Для выравнивания альфа-субъединицы гемоглобина человека HBA_HUMAN с цитоглобином-1 Danio rerio вычислить с помощью матрицы РАМ30 и аффинного штрафа за пропуски y(g) = -d - (g - 1)е (при (d = 10 и е = 5) счёт следующего фрагмента выравнивания
![]()
8. Для выравнивания альфа-субъединицы гемоглобина человека HBA_HUMAN с цитоглобином-1 Danio rerio вычислить с помощью матрицы BLOSUM80 и аффинного штрафа за пропуски y(g) = -d - (g - 1)е (при d = 8 и е = 4) счёт следующего фрагмента выравнивания
![]()