Генетика - А. В. Сиволоб 2008
Генетика популяцій
Фактори динаміки генетичної структури популяцій
Дрейф генів
Чисельність популяцій завжди є величиною скінченною. Якщо (у разі відсутності добору, мутацій і міграцій) популяція характеризується незначною величиною Ne, то при формуванні пулу гамет і генофонду наступної генерації значно підвищується ймовірність випадкових відхилень від середньої частоти того чи іншого алеля. Процес ненаправленої зміни частот алелів у малих популяціях під впливом випадкових факторів називають дрейфом генів.
Ці випадкові коливання спричинюють непередбачені зміни частот генів у ряду генерацій (рис. 8.5, 8.6). Кінцевим результатом цього процесу буде елімінація алеля з популяції або його фіксація (частота алеля фіксується на 100 % рівні), причому тим швидше, чим меншим є значення Ne.

Рис. 8.5. Процес випадкової зміни генних частот протягом однієї генерації в популяції, що складається з чотирьох гермафродитних особин, при репродукції яких відбувається випадкове об'єднання гамет (за Кімура, 1985)
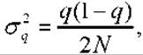
Випадковість і непередбаченість змін генетичної структури конкретної популяції зумовлює використання ймовірністного підходу, лише за допомогою якого і є можливим вивчення дрейфу. Оцінку ймовірності відхилення частоти алеля від вихідного значення можна одержати шляхом використання стандартних відхилень (σ). Дисперсія частоти алеля визначається формулою
![]()
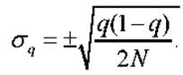
де q - частота алеля а у вихідній (і-тій) генерації, N - чисельність наступної дочірньої (+1) генерації. Звідки стандартне середньоквадратичне відхилення частоти гена в дочірній генерації
![]()
Чим більше відхилення частоти алеля від вихідного значення, тим рідше воно трапляється: до інтервалу від q - σ до q + σ потрапляє 68,27 % усіх можливих випадкових відхилень частоти алеля, до інтервалу від q - 2σ до q + 2σ - 95 % і т. д.
У результаті випадкових змін частот генів під час зміни генерації відбуватимуться як фіксація, так і елімінація алелів, тобто збільшення гомозиготності популяції, втрата мінливості (рис. 8.6, 8.7). Швидкість процесу втрати мінливості дорівнює k = 1/(2N). Інакше кажучи, гетерозиготність у групі з N особин, що розмножуються шляхом випадкових схрещувань, у кожній генерації буде зменшуватися у 2N разів:
![]()

Рис. 8.6. Криві дрейфу генних частот.
По осі абсцис відкладено кількість поколінь, по осі ординат - частоту гена. Криві отримано в комп'ютерних експериментах, де моделювалась популяція з 10 і 100 особин із початковою частотою гена, яка дорівнювала 0,5

Рис. 8.7. Зміни розподілу генної частоти в результаті дрейфу генів: по осі абсцис - частота алеля, по осі ординат - частка популяцій із відповідною частотою. Популяції складаються з 5 гермафродитних особин; схрещування випадкові: початкова частота гена (при t = 0) дорівнює 0,5. Наведено розподіли для 1, 5, 10 і 15-ї генерацій. Сині стовпці відповідають частці популяцій, у яких алель втрачено або він фіксований (за Кімура, 1985)
Гетерозиготність у групі з N особин після t панміктичних генерацій можна визначити за формулою
![]()
де Но - вихідна гетерозиготність, Н - гетерозиготність після t генерацій.
Таким самим чином (тобто зі швидкістю 1/(2N) за генерацію) при генетичному дрейфі змінюється ще один показник мінливості - кількість локусів, за якими не відбулась фіксація або елімінація одного з алелів.
Основними наслідками дрейфу генів є:
✵ зміна частот алелів у непередбачуваному напрямку;
✵ збільшення частки гомозигот;
✵ збіднення генофонду (зникнення алелів).
Дрейф суттєво впливає на генетичну структуру популяції при коливаннях чисельності, коли чисельність популяції різко зменшується (ефект шийки пляшки), а генофонд наступних поколінь визначає невелика група особин - засновників популяції (ефект засновника). Хоча чисельність популяції може потім значно зрости, гени всіх особин походять від невеликої кількості генів, що випадково були присутніми в засновників популяції. Зокрема, це стосується популяцій людини на певних етапах еволюції Homo sapience (розділ 7). Ефект засновника має місце як при проходженні популяції "через шийку пляшки», так і при заселенні видом нових відокремлених територій (наприклад, островів).
Последнее обновление: 05/02/2024
Редакционная и учебная адаптация: Данный материал сведен на основе первоисточника/оригинального текста. Команда проекта осуществила редакционную обзорную обработку, исправление технических неточностей, структурирование разделов и адаптацию содержания к учебному формату.
Что было обработано:
- устранение форматных дефектов (OCR-ошибки, разрывы структуры, дефектные символы);
- редакционное упорядочивание содержания;
- унификация терминов в соответствии с академическими источниками;
- проверка соответствия фактических утверждений текста первоисточнику.
Все упоминания об авторе, годе издания и происхождении первичного текста сохранены в соответствии с источником.