Биохимия и молекулярная биология - Белясова Н.А. 2002
Метаболизм. Процессы, требующие притока энергии
Особенности биосинтеза. Биосинтез углеводов
Биосинтез полисахаридов
Полисахариды синтезируются из моносахаридов с соблюдением ряда закономерностей. Во-первых, моносахаридные единицы активируются первоначально путем фосфорилирования, катализируемого киназой. Затем моносахаридное звено акцептируется одним из нуклеозиддифосфатов, а образующийся сахаронуклеотид выполняет роль переносчика гликозильного остатка (нуклеотидной «ручки») на удлиняющуюся цепь полисахарида.
Биосинтез гликогена. Предшественниками для биосинтеза гликогена могут служить как свободная глюкоза, так и глюкозо-6-фосфат. В первом случае глюкоза фосфорилируется киназой с образованием глюкозо-1-фосфата, во втором — глюкозо-6-фосфат изомеризуется с участием фосфоглюкомутазы в глюкозо-1-фосфат (рис. 14.3).
Следующую стадию (образование сахаронуклеотида) катализирует пирофосфорилаза, причем у высших животных гликозильные остатки переносятся на уридиндифосфат (UDP), а в клетках растений и микроорганизмов эту роль выполняют ADP, CDP или GDP. На схемах (рис. 14.3, 14.4) показан процесс синтеза гликогена у животных, и пирофосфорилаза здесь носит название глюкозо-1-фосфат-уридилтрансфераза.
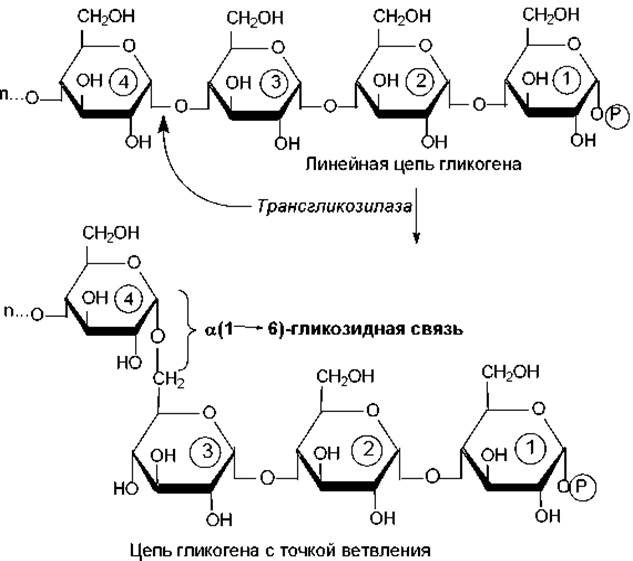
На следующем этапе гликозильная группа UDP-глюкозы переносится на концевую часть цепи гликогена (у нередуцирующего конца) и формируется очередная а(1→4)-гликозидная связь между первым атомом углерода добавляемого остатка глюкозы и кислородом гидроксила у четвертого атома углерода концевого остатка глюкозы цепи. Данную реакцию катализирует гликогенсинтетаза. С помощью этого фермента происходит постепенное удлинение линейных цепей гликогена, однако не может осуществиться образование точек ветвления, характерных для молекул гликогена (рис. 14.3). Функцию образования «ветвей» гликогена катализирует другой фермент — трансгликозилаза.
После того как линейная цепь гликогена достигнет длины примерно в 10 остатков глюкозы, трансгликозилаза атакует гликозидную связь в каком-либо месте цепи и переносит концевой олигосахаридный фрагмент, содержащий 6—7 гликозильных звеньев, на свободную 6-гидроксильную группу остатка глюкозы той же или другой цепи. Так катализируется образование a(1→6)-гликозидной связи, и в молекуле гликогена появляется точка ветвления (рис. 14.4). Аналогичным образом в клетках растений осуществляется синтез крахмала.
Биосинтез, а также распад гликогена регулируются у высших организмов гормонами. В частности, у животных в этих процессах принимают активное участие адреналин и Глюкагон. При повышении их концентрации в крови количество гликогена уменьшается и, соответственно, увеличивается количество глюкозы.
Биосинтез муреина. В отличие от гликогена, биосинтез которого протекает внутри Клетки, муреин, являясь компонентом клеточной стенки бактерий, синтезируется с участием нескольких стадий, осуществляющихся вне клетки — на наружной поверхности плазматической мембраны. При этом Клетка вынуждена транспортировать через мембрану отдельные структурные компоненты муреина, для чего существует специальный механизм.
Непосредственным предшественником биосинтеза муреина служит N-ацетилглюкозамин, и первые этапы биосинтеза происходят с соблюдением уже описанных закономерностей, включая фосфорилирование предшественника и его перенос на остаток UDP (рис. 14.5). В результате этих реакций формируется UDP-N-ацетилглюкозамин (UDP-NAG).

Рис. 14.3. Биосинтез линейных цепей гликогена

Рис. 14.4. Образование точек ветвления гликогена
На следующем этапе UDP-NAG трансформируется во второй компонент этого гетерополимера — UDP-N-ацетилмурамовую кислоту (UDP-NAM). Для этого к молекуле UDP-NAG присоединяется остаток молочной кислоты при взаимодействии с фосфоенолпируватом (РЕР). Далее к UDP-NAM добавляются последовательно остатки пяти аминокислот, и образуется UDP-N- ацетилмурамилпентапептид (рис. 14.5).
Пентапепидная цепь в составе UDP-N-ацетилмурамилпентапептида строится необычным образом: образование пептидных связей здесь происходит за счет энергии АТР с участием специальных ферментов. Такой пептид (содержащий D-Аминокислоты и у-пептидную связь) не может быть синтезирован обычным путем на рибосомах.
Сформированный N-ацетилмурамилпентапептид переносится с помощью фермента от UDP на связанный с мембраной липидный переносчик — гидрофобную молекулу, способную совершать челночные перемещения через мембрану. После этого к NAM-пептидной единице, связанной с липидным переносчиком, присоединяется NAG (его донором служит образованный ранее UDP-NAG) и формируется дисахаридное звено. Структура Р(1→4)-гликозидной связи между моносахаридными единицами представлена на рис. 5.4. Наконец, на ε-аминогруппе остатка лизина в пентапептиде выстраивается пентаглициновый мостик (рис. 14.6).

Рис. 14.5. Биосинтез муреина. Стадии, ведущие к образованию UDP-N-ацетилмурамилпентапептида (объяснения в тексте).
Образовавшееся дисахаридпептидное звено переносится от липидного переносчика на растущую полисахаридную цепь (рис. 14.6). На последнем этапе отдельные полисахаридные цепи поперечно связываются пентаглициновыми мостиками (реакция транспептидирования, катализируемая ферментом гликопептид-транспептидазой). В ходе этой реакции концевая аминогруппа пентаглицинового мостика атакует пептидную связь между двумя остатками D-аланина в пентапептиде другой дисахаридной единицы. Так возникает пептидная связь между концевым остатком глицина и остатком D-ala. При этом второй (концевой) остаток D-ala высвобождается. Данная реакция осуществляется уже вне клетки и не требует участия АТР, поскольку протекает за счет энергии гидролизуемой связи D-ala—D-ala. Сформировавшаяся структура представлена на рис. 5.6.

Рис. 14.6. Биосинтез муреина. Образование дисахарид-пептидного звена и наращивание цепи (объяснения в тексте)
Процесс биосинтеза муреина подвержен ингибирующему действию со стороны некоторых антибиотиков. В частности, ß-лактамные Антибиотики ковалентно связываются с активным центром гликопептид-транспептидазы, вызывая ее необратимое ингибирование (глава 18). В таком случае не может осуществиться последняя стадия биосинтеза — образование поперечных сшивок между тетрапептидами. Бацитрацин блокирует регенерацию липидного переносчика, останавливая синтез клеточной стенки.
Большинство экзополисахаридов синтезируется с соблюдением описанных для биосинтеза муреина закономерностей: участие нуклеозиддифосфатов, липидных переносчиков, сборка полисахаридных молекул из дисахаридных звеньев на поверхности клетки с помощью внеклеточных ферментов.
Последнее обновление: 05/02/2024
Редакционная и учебная адаптация: Данный материал сведен на основе первоисточника/оригинального текста. Команда проекта осуществила редакционную обзорную обработку, исправление технических неточностей, структурирование разделов и адаптацию содержания к учебному формату.
Что было обработано:
- устранение форматных дефектов (OCR-ошибки, разрывы структуры, дефектные символы);
- редакционное упорядочивание содержания;
- унификация терминов в соответствии с академическими источниками;
- проверка соответствия фактических утверждений текста первоисточнику.
Все упоминания об авторе, годе издания и происхождении первичного текста сохранены в соответствии с источником.